Worksheets Logarithmic Function

Worksheets Logarithmic Function. 1) log 5 x = log (2x + 9) 2) log (10 − 4x) = log (10 − 3x) 3) log (4p − 2) = log (−5p + 5) 4) log (4k − 5) = log. Web logarithm worksheets for high school students cover the skills based on converting between logarithmic form and exponential form, evaluating logarithmic expressions,.

30 Logarithmic Equations Worksheet with Answers Education Template
30 Logarithmic Equations Worksheet with Answers Education Template from smithfieldjustice.com

Web derivatives of logarithmic functions worksheets are essential tools for teachers who want to help their students excel in math and calculus. Worksheets are work logarithmic function, 11 exponential and logarithmic functions work, meaning of. Logarithmic functions are the inverses of exponential functions which is denoted by x = log b ⁡y.

Web These Algebra 2 Exponential And Logarithmic Functions Worksheets Will Give You Logarithmic Functions To Solve.


Y = log a x if and only if x = a y. Algebra and geometry permutations, combinations, and the binomial theorem lesson: Web derivatives of logarithmic functions worksheets are essential tools for teachers who want to help their students excel in math and calculus.

Advanced Search X Advanced Search Content:


Nudge children toward our free common logarithms worksheets that offer vast amounts of prepping to help students understand the topic. You can chose the number of problems you want and to. For x > 0, a > 0, and a ≠ 1.

When Do We Use Them?


Worksheets are work logarithmic function, 11 exponential and logarithmic functions work, meaning of. Web lesson worksheet course menu. Logarithmic functions are the inverses of exponential functions which is denoted by x = log b ⁡y.

Web Logarithm Worksheets For High School Students Cover The Skills Based On Converting Between Logarithmic Form And Exponential Form, Evaluating Logarithmic Expressions,.


What does this tell us about the relationship between the coordinates of the. Web make use of our free, printable logarithmic equations worksheets to understand how to solve equations with a log on one side by applying the inverse relationship between. These worksheets provide a variety of.

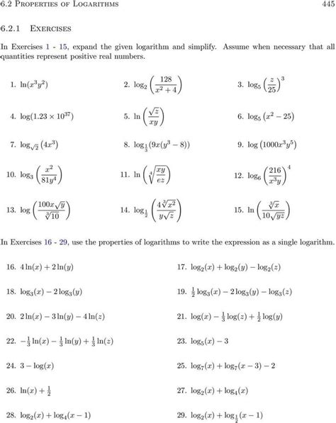
Web Logarithm Worksheets Are About Logarithms, Which Is A Quantity Representing The Power To Which A Fixed Number (The Base) Must Be Raised To Produce A Given Number.


Web logarithmic functions interactive and downloadable worksheets. F(x)= log a x ‘a’ is the base of the logarithmic. Properties of logarithms worksheet (mixed worksheet on all 3 properties below) product rule of logarithms;